Getaran
Benda dikatakan bergetar atau berosilasi jika benda tersebut bergerak bolak-balik secara teratur melalui titik seimbangnya.
Nah bandul tersebut disebut bergetar satu kali getaran apabila bandul bergerak berpindah sesuai urutan ini: A – O – B – O – A
Istilah istilah dalam getaran :
- Amplitudo : simpangan terbesar, kalau dalam contoh bandul diatas maka gerakan dari O – A atau O – B.
- Periode : waktu yang diperlukan suatu benda menempuh satu kali getaran penuh, dilambangkan dengan huruf T.
- Frekuensi : banyaknya getaran yang terjadi dalam satu detik, dilambangkan dengan huruf f.
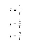
Kalau kita harus tuliskan tentang periode dan frekuensi dalam bentuk matematika akan menjadi:
Keterangan:
T = Periode
f = Frekuensi
n = Jumlah getaran
t = waktu (s)
Contoh Peristiwa Getaran :
A. Senar gitar yang dipetik
B. Gendang yang dipukul
C. Pita suara ketika kita berbicara
D. Ayunan bandul
E. Pegas
F. Gempa bumi
Contoh soal 1:
Diketahui sebuah bandul mula-mula diam pada posisi A dengan titik B sebagai titik seimbangnya, kemudian bandul tersebut digoyangkan sehingga bergerak mengikuti pola A-B-C-B-A-B-C-B-A . Berapa getaran yang dihasilkan oleh bandul tersebut?
Dik: Gerakan bandul A-B-C-B-A-B-C-B-A.
Dit: Getaran yang dihasilkan?
Jwb: Ketika bandul bergerak dari A-B-C-B-A itu sudah satu getaran, kemudian masih berlanjut menjadi A-B-C-B-A lagi, jadi jelas ya jawabannya adalah dua getaran.



 
0 komentar:
Posting Komentar